Mundo
Ciências
Falso senador italiano prova interesse por teorias da conspiração
Com a facilidade de partilhar e divulgar informação na internet, tudo o que se passa no mundo chega até nós em questões de minutos. Um “twitter”, uma foto, um vídeo, uma publicação no “facebook”, enfim, mil e uma maneiras de transmitir momentos ou mesmo notícias. Mas quem as coloca não imagina o resultado ou como pode ser interpretada nos pontos de recepção e entramos por vezes no campo das teorias da conspiração.
Uma análise científica recente mostrou que alguns boatos, como por exemplo a relação direta entre a vacinação e o autismo, ou a possibilidade de que estarmos a ser envenenados com produtos químicos com segundas intenções, ou mesmo a existência de um Governo sombra alienista, têm tanta repercussão em redes como o “facebook” quanto a mais legítima informação publicada nos normais veículos de comunicação.
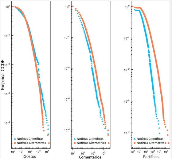
Os autores do estudo, liderado por Walter Quattrociocchi, da Universidade de Boston, nos Estados Unidos, analisaram e estudaram as diferenças entre os grupos que consomem a informação convencional e os que preferem as fontes alternativas.
Neste trabalho, os investigadores conseguem mostrar que existe uma importante polarização entre os dois grupos. Aqueles que habitualmente procuram fontes alternativas são praticamente impermeáveis aos pontos de vista opostos.
Exemplo Italiano
Na Itália foi divulgado na rede social "facebook" que o Senado italiano teria aprovado conceder dez por cento do PIB aos políticos desempregados.
O efeito provocatório não se fez tardar e verificou-se que houve uma réplica da notícia em mais de 271 mil partilhas só no "facebook".

A análise foi inserida em grupos classificados segundo o tipo de informação que oferecem como "explicações alternativas à realidade" ou "notícias científicas" ou "verificáveis".
Além disso, os internautas foram também classificados de acordo com sua preferência por determinado tipo de notícia.
Partindo desta base, os investigadores observaram que 90,29 por cento dos consumidores de notícias científicas costumam comentar as notícias de seu âmbito, mas também se preocupavam em comentar nas fontes de informação alternativa, as quais dedicavam 9,71 por cento dos seus comentários.
Os internautas de notícias alternativas, por sua vez, comentam nos sites de notícias alternativas com frequência bem menor: somente 0,92 por cento de seus comentários foram feitos em sites de notícias científicas.
Além disso, foi observado que os leitores de informações pouco convencionais estavam mais inclinados a difundir a informação compartilhando-a com seus contatos do que os de notícias convencionais.
Teorias da conspiração versus notícias verdadeiras
Segundo este estudo, os investigadores da Universidade de Boston, observaram que as pessoas dispostas a acreditar nas teorias da conspiração, são mais propensas a interagir e difundir informações completamente falsas.
Uma teoria comprovada depois da publicação de 4.709 afirmações falsas produzidas por uma página com conteúdos parodiantes.
Os aficionados por estas teorias conspiratórias foram muito mais ativos, comentando e difundindo os boatos.
Por outro lado, os consumidores de teorias científicas também não conseguiram distinguir as notícias conspiratórias falsas das genuínas e continuaram a comentá-las no sentido de refutar as mesmas.
Entre as várias notícias falsas utilizadas para o estudo, os pesquisadores, todos italianos, colocaram na rede uma polémica com uma personagem política de nome Senador Cirenga.
Segundo a notícia, o senador teria proposto uma lei para dar aos políticos 134 mil milhões de euros, para encontrar trabalho se perdessem as eleições. 257 senadores teriam votado a favor e 165 contra.
A cifra, correspondente a 10 por cento do PIB italiano, era completamente inverosímil. O número de senadores que supostamente votaram superava o total de políticos do Senado e o tal Cirenga nem sequer existia. Mas isso não impediu que a história se tornasse viral, tendo mesmo sido partilhada e comentada por muitos ativistas políticos.
Tentativas de explicar o inexplicável
Segundo o estudo revelado por esta equipa de investigadores, a inclinação para acreditar nas notícias envolvidas em teorias conspirativas, relaciona-se com a necessidade de ter explicações completas.
Perante um fator ligado a um desastre natural ou um ataque terrorista, ocorre quase sempre uma sensação de desamparo, por parte do leitor, que não ajuda a aliviar a análise da realidade, que por sua própria natureza deixará partes da história sem a explicação completa.
As teorias da conspiração, livres do peso de apresentar provas do que afirmam, vêm desta forma proporcionar uma narração mais redonda e, para muitos, mais satisfatória.
Uma tendência cada vez mais frequente que deixa, como mostraram os pesquisadores italianos, as pessoas mais desprotegidas contra todo tipo de mentiras, levando este estudo a concluir que muitas da vezes a falta de conhecimento geral e a procura por fontes menos credíveis levam ao aumento da difusão de notícias falsas e mais apelativas.

O estudo também mostra que os utilizadores regulares de uma determinada área informativa, quando induzidos, atuam por estímulos a notícias mais especulativas.
E o homem foi mesmo à Lua?
Uma das mais antigas teorias, englobadas nas ditas “conspirativas”, é se o homem foi realmente à Lua.
Muitas são as provas apresentadas que alimentam esta teoria: fotos que mostram projetores, pedras com letras no solo lunar, a questão do vento na bandeira americana, a falta de estrelas no céu, enfim, provas que não provam a veracidade de quem as tirou ou manipulou e que ainda hoje alimentam as partilhas na internet.

A questão irá no entanto permanecer na mente de quem procura acreditar em tudo o que vê ou lê, sabendo contundo que, com as novas tecnologias de divulgação, tudo pode ser colocado em causa.
O melhor mesmo é “ver para crer”.
Os autores do estudo, liderado por Walter Quattrociocchi, da Universidade de Boston, nos Estados Unidos, analisaram e estudaram as diferenças entre os grupos que consomem a informação convencional e os que preferem as fontes alternativas.
Neste trabalho, os investigadores conseguem mostrar que existe uma importante polarização entre os dois grupos. Aqueles que habitualmente procuram fontes alternativas são praticamente impermeáveis aos pontos de vista opostos.
Exemplo Italiano
Na Itália foi divulgado na rede social "facebook" que o Senado italiano teria aprovado conceder dez por cento do PIB aos políticos desempregados.
O efeito provocatório não se fez tardar e verificou-se que houve uma réplica da notícia em mais de 271 mil partilhas só no "facebook".
A análise foi inserida em grupos classificados segundo o tipo de informação que oferecem como "explicações alternativas à realidade" ou "notícias científicas" ou "verificáveis".
Além disso, os internautas foram também classificados de acordo com sua preferência por determinado tipo de notícia.
Partindo desta base, os investigadores observaram que 90,29 por cento dos consumidores de notícias científicas costumam comentar as notícias de seu âmbito, mas também se preocupavam em comentar nas fontes de informação alternativa, as quais dedicavam 9,71 por cento dos seus comentários.
Os internautas de notícias alternativas, por sua vez, comentam nos sites de notícias alternativas com frequência bem menor: somente 0,92 por cento de seus comentários foram feitos em sites de notícias científicas.
Além disso, foi observado que os leitores de informações pouco convencionais estavam mais inclinados a difundir a informação compartilhando-a com seus contatos do que os de notícias convencionais.
Teorias da conspiração versus notícias verdadeiras
Segundo este estudo, os investigadores da Universidade de Boston, observaram que as pessoas dispostas a acreditar nas teorias da conspiração, são mais propensas a interagir e difundir informações completamente falsas.
Uma teoria comprovada depois da publicação de 4.709 afirmações falsas produzidas por uma página com conteúdos parodiantes.
Os aficionados por estas teorias conspiratórias foram muito mais ativos, comentando e difundindo os boatos.
Por outro lado, os consumidores de teorias científicas também não conseguiram distinguir as notícias conspiratórias falsas das genuínas e continuaram a comentá-las no sentido de refutar as mesmas.
Entre as várias notícias falsas utilizadas para o estudo, os pesquisadores, todos italianos, colocaram na rede uma polémica com uma personagem política de nome Senador Cirenga.
Segundo a notícia, o senador teria proposto uma lei para dar aos políticos 134 mil milhões de euros, para encontrar trabalho se perdessem as eleições. 257 senadores teriam votado a favor e 165 contra.
A cifra, correspondente a 10 por cento do PIB italiano, era completamente inverosímil. O número de senadores que supostamente votaram superava o total de políticos do Senado e o tal Cirenga nem sequer existia. Mas isso não impediu que a história se tornasse viral, tendo mesmo sido partilhada e comentada por muitos ativistas políticos.
Tentativas de explicar o inexplicável
Segundo o estudo revelado por esta equipa de investigadores, a inclinação para acreditar nas notícias envolvidas em teorias conspirativas, relaciona-se com a necessidade de ter explicações completas.
Perante um fator ligado a um desastre natural ou um ataque terrorista, ocorre quase sempre uma sensação de desamparo, por parte do leitor, que não ajuda a aliviar a análise da realidade, que por sua própria natureza deixará partes da história sem a explicação completa.
As teorias da conspiração, livres do peso de apresentar provas do que afirmam, vêm desta forma proporcionar uma narração mais redonda e, para muitos, mais satisfatória.
Uma tendência cada vez mais frequente que deixa, como mostraram os pesquisadores italianos, as pessoas mais desprotegidas contra todo tipo de mentiras, levando este estudo a concluir que muitas da vezes a falta de conhecimento geral e a procura por fontes menos credíveis levam ao aumento da difusão de notícias falsas e mais apelativas.
O estudo também mostra que os utilizadores regulares de uma determinada área informativa, quando induzidos, atuam por estímulos a notícias mais especulativas.
E o homem foi mesmo à Lua?
Uma das mais antigas teorias, englobadas nas ditas “conspirativas”, é se o homem foi realmente à Lua.
Muitas são as provas apresentadas que alimentam esta teoria: fotos que mostram projetores, pedras com letras no solo lunar, a questão do vento na bandeira americana, a falta de estrelas no céu, enfim, provas que não provam a veracidade de quem as tirou ou manipulou e que ainda hoje alimentam as partilhas na internet.
A questão irá no entanto permanecer na mente de quem procura acreditar em tudo o que vê ou lê, sabendo contundo que, com as novas tecnologias de divulgação, tudo pode ser colocado em causa.
O melhor mesmo é “ver para crer”.