EM DIRETO
Guerra no Médio Oriente. Acompanhe aqui, ao minuto, a evolução do conflito

Marisco é solução para substituir sulfitos em vinho e vinagre

Marisco é solução para substituir sulfitos em vinho e vinagre

Para manter as propriedades de consumo, o vinho tem de ser conservado. A indústria vinícola utiliza, maioritariamente, um produto químico com base nos sulfatos - os designados sulfitos. Mas uma equipa de investigadores do departamento de Química Orgânica da Universidade de Aveiro pegou em cascas de marisco e criou uma solução natural.

Tudo começou quandos os investigadores da Universidade de Aveiro (UA) foram convidados por uma empresa do ramo vitivinícola a procurar um novo método de conservação - natural - para substituir os sulfitos.

Foram utilizados extratos de casca de camarão e caranguejo. E a experiência, que consistiu na adição, durante a produção do vinho, de um polissacarídeo chamado quitosana, resultou.

Além de ser mais saudável e de aproveitar os resíduos dos mariscos, este produto natural mantém todas as características sensoriais do vinho, seja no sabor, seja no aroma.

E se no vinho foi um sucesso os investigadores da UA, liderados por Manuel Coimbra, quiseram testaram a mesma receita em vinagres, sumos e infusões. Foram igualmente bem sucedidos.


A ciência dá assim mais um passo rumo à substituição dos conservantes sintéticos por extratos naturais, que podem ser obtidos a partir das cascas de camarão ou de culturas de fungos.

"Normalmente estas ideias vão sendo fruto de experimentação e conhecimento que vamos tendo. Nós vamos trabalhando nesta área das fibras alimentares, à qual chamamos de polissacarídeos e trabalhamos na área da química alimentar. E por isso muitos destes desafios são colocados pelas próprias empresas que sabem desta competência na química alimentar", referiu o investigador da Universidade de Aveiro Manuel Coimbra.

"Foi o caso de uma empresa vitivinícola que nos fez chegar um pedido, para que nós arranjarmos soluções para produzir vinhos sem recurso a sulfuroso, uma vez que existe muitas pessoas que são alérgicas aos sulfitos, e dai surgiu todo este processo", explicou.


"Já no caso dos vinagres foi no sentido inverso. Sabendo nós a composição dos vinagres e a composição dos vinhos, sabendo que havia alí algumas semelhanças, e de acordo com as propriedades que estas películas tinham, poder fazer uma extensão do que era a aplicação, e foi isso que fizemos, e com sucesso, segundo a empresa solicitadora”.


Manuel Coimbra, Tasso Rosa e Cláudia Nunes, investigadores do QOPNA, da Universidade de Aveiro
Vinhos, vinagres, sumos e infusões
As películas feitas a partir dos extratos da casca do marisco podem ser usadas seja em vinhos, em vinagres ou em qualquer outra bebida como sumos ou infusões.

Para além de serem uma solução saudável e ecológica, estas películas mantêm intactas as características dos produtos.

Associada às atuais receitas dos processos de produção de bebidas alcoólicas, de vinagres e de sumos está a adição generalizada de conservantes sintéticos, como o anidrido sulfuroso, para evitar a proliferação de micro-organismos que degradam o produto e as oxidações que o acastanham.

Compostos químicos que, além de danificarem a atmosfera, podem causar reações alérgicas em algumas pessoas.

Ouvido pela RTP, o investigador Manuel Coimbra explicou que as matrizes entre o vinho e o vinagre são semelhantes. Nos sumos, que também são líquidos, existe o açúcar e, no caso das infusões, a solução pode ainda ser mais fácil, pois nem esse elemento existe.

Assim a equipa da Unidade de Investigação de Química Orgânica, Produtos Naturais e Agroalimentares (QOPNA) do Departamento de Química (DQ) da UA, coordenada por Manuel A. Coimbra, anunciou em 2012 uma alternativa a pensar nos consumidores alérgicos e no ambiente.Odores não entram nos líquidos
Manuel Coimbra sorri quando questionado sobre o forte odor emanado pelo marisco. Cheiro que não entra nos líquidos tratados por esta química alimentar.

“Tudo depende da refinação. O que acontece às cascas do camarão é que estas são tratadas com um reagente alcalino forte e depois com um reagente ácido muito forte. E com este processo remove-se todas as proteínas, onde estão todos esses odores”.

Apesar dos bons resultados, o consumidor ainda vai ter de esperar um pouco até encontrar este tipo de produtos à venda.

A fase de experimentação já decorre, por parte da empresa que encomendou a solução natural, mas a normal comercialização está dependente da autorização da Organização Internacional da Vinha e do Vinho.

Esta organização reúne-se apenas uma vez por ano em Paris e só após uma longa e detalhada análise é dada luz verde para a fase seguinte, ou seja, a venda no mercado de consumo.
Empresas ajudam nas experiências
Inicialmente todo o processo é desencadeado através de uma parceria entre a equipa do QOPNA e a empresa Dão Sul – Sociedade Vitivinícola que, com ajuda do método da UA, produziu a título experimental três mil litros de vinho branco e 300 litros de vinho tinto sem conservantes.

Mais recentemente foi realizado um trabalho de mestrado em ambiente empresarial na empresa Mendes Gonçalves, entre os líderes do mercado português no que toca à produção de vinagres, molhos e temperos.

Este trabalho de mestrado de Ana Tasso Rosa, orientado pela investigadora Cláudia Nunes, confirmou, em dezembro último, que também a adição ao vinagre das películas feitas à base de extratos de camarão, em substituição dos sulfitos, conserva o produto enquanto mantém todas as características sensoriais do tempero.
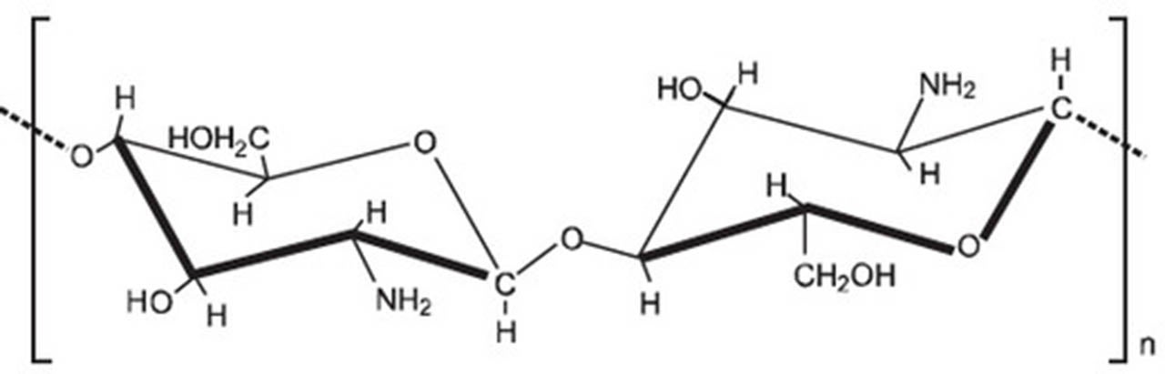
O que é a quitosana?
A quitosana é um polímero constituído por unidades repetidas de glicosamina, derivados da quitina, que pode ser obtido pela desacetilação.



A quitina é o segundo polissacarídeo mais abundante na natureza, depois da celulose, sendo o principal componente do exoesqueleto de crustáceos e insetos.

A quitosana é solúvel em ácidos orgânicos e minerais diluídos, mas precipita a um valor de pH superior a 6.0, funcionando assim como uma resina trocadora de íons.